Přepnout vzhled
Kalábovi
Kalábovic wikina
Uživatelské nástroje
Přepnout vzhled
Přihlásit se
Nástroje pro tento web
Hledat
Nástroje
Zobrazit stránku
Starší verze
Zpětné odkazy
ODT export
Poslední úpravy
Správa médií
Mapa stránek
Přihlásit se
>
Poslední úpravy
Správa médií
Mapa stránek
Historie:
pitel:isz:ko2re_2.png
ko2re_2.png
Datum:
30. 12. 2022, 13.42:54
Jméno souboru:
ko2re_2.png
Formát:
PNG
Velikost:
24KB
Šířka:
736
Výška:
184
Odkazy na:
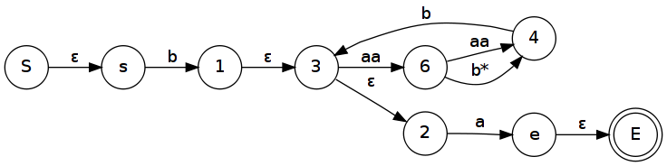
Regulární jazyky a jejich modely
Tento seznam nemusí být úplný z důvodu omezení práv ACL a skrytým stránkám.
Nástroje pro stránku
Zpět na pitel:isz:regularni_jazyky
Nahoru