Přepnout vzhled
Kalábovi
Kalábovic wikina
Uživatelské nástroje
Přepnout vzhled
Přihlásit se
Nástroje pro tento web
Hledat
Nástroje
Zobrazit stránku
Starší verze
Zpětné odkazy
ODT export
Poslední úpravy
Správa médií
Mapa stránek
Přihlásit se
>
Poslední úpravy
Správa médií
Mapa stránek
Historie:
pitel:isz:re2ko_6.png
re2ko_6.png
Datum:
30. 12. 2022, 13.42:54
Jméno souboru:
re2ko_6.png
Formát:
PNG
Velikost:
30KB
Šířka:
709
Výška:
215
Odkazy na:
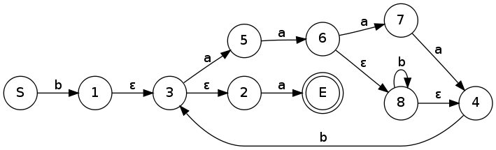
Regulární jazyky a jejich modely
Tento seznam nemusí být úplný z důvodu omezení práv ACL a skrytým stránkám.
Nástroje pro stránku
Zpět na pitel:isz:regularni_jazyky
Nahoru