Přepnout vzhled
Kalábovi
Kalábovic wikina
Uživatelské nástroje
Přepnout vzhled
Přihlásit se
Nástroje pro tento web
Hledat
Nástroje
Zobrazit stránku
Starší verze
Zpětné odkazy
ODT export
Poslední úpravy
Správa médií
Mapa stránek
Přihlásit se
>
Poslední úpravy
Správa médií
Mapa stránek
Historie:
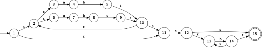
pitel:tin:ukoly:2010:rka.png
rka.png
Datum:
30. 12. 2022, 13.42:54
Jméno souboru:
rka.png
Formát:
PNG
Velikost:
20KB
Šířka:
1402
Výška:
257
Odkazy na:
Úkol 1
Tento seznam nemusí být úplný z důvodu omezení práv ACL a skrytým stránkám.
Nástroje pro stránku
Zpět na pitel:tin:ukoly:2010:1
Nahoru